新闻活动 新闻动态
近日,西湖大学理学院、人工光合作用与太阳能燃料中心王涛课题组在计算电化学领域取得新进展。研究团队通过程序的自主开发,创新性搭建了一套耦合巨正则密度泛函理论计算、微观动力学模型和连续介质传输模型的多尺度模拟框架,实现了金属电极上析氢反应(HER)全pH范围极化曲线的精准模拟,并与实验测得的数据完美符合。本研究不仅精准地揭示了电极局部微环境的动态演化与传质效应共同调控反应性能的理论机制,而且有望弥合微观理论计算与宏观实验间的鸿沟,最终为理解传质效应、优化电化学反应微环境并实现高性能电催化剂的理性设计提供关键的理论工具。
该研究成果以“Toward Rational Understanding of the Hydrogen Evolution Polarization Curves Through Multiscale Simulations”为题发表在Nature Communications上。
西湖大学理学院博士生寿卫强为文章第一作者,助理研究员赵王辉博士为共同第一作者,西湖大学理学院、人工光合作用与太阳能燃料中心特聘研究员王涛为通讯作者。

论文地址:https://doi.org/10.1038/s41467-025-67493-y
在可再生能源驱动的电催化转化领域,深入理解电催化体系中气-固-液三相界面的复杂反应机理和机制是设计高性能电催化剂的关键。通常而言,电催化反应的效率不仅取决于电催化剂的本征物理化学性质,而且与反应过程中催化剂所处的局部微环境息息相关。当前,高精尖的实验表征和谱学手段为三相界面的机制研究提供了重要的信息,而理论模拟则能够将反应机理的研究推向更加微观的层面。
电催化表界面涉及到催化剂、电极电势、pH、溶液环境等诸多复杂因素,因此电催化反应的精准模拟仍然面临着巨大的挑战。原则上讲,理论模拟不仅需要关注催化剂表面的微观反应机制,更加需要考虑宏观的传质效应的贡献。具体而言,一个真实的电催化反应不仅涉及电极界面的微观过程(如反应物/产物的吸附与脱附、化学键的断裂与形成、质子耦合电子转移等),还包含源于大量原子与分子集体行为而产生的宏观传质现象(如扩散、迁移与对流等)。将这两个尺度集成于同一个理论框架,实现对真实反应场景的完整描述,是计算电化学面临的重要挑战之一。因此,发展能够兼顾“微观反应机理”与“宏观传质过程”的多尺度计算方法,已成为突破当前研究瓶颈的关键途径之一。
针对这一难题,研究团队通过程序的自主开发,搭建了一套多尺度模拟框架(图1),将巨正则密度泛函理论计算、微观动力学模型和连续介质传输模型进行有效耦合,进而实现了金属电极上析氢反应(HER)全pH范围极化曲线的精准模拟,并与实验测得的数据完美符合。本研究有望为高性能电催化剂的理性设计提供重要的理论依据和程序基础。

图1. 兼顾“微观”与“宏观”的多尺度模拟框架。(a)包含电化学反应与传质现象的多尺度模拟示意图;(b)多尺度模拟的具体工作流程与基本原理
具体而言,该框架首先通过巨正则密度泛函理论(GC-DFT)计算获得电催化反应各基元步骤在不同电位下的反应自由能与能垒,随后将能量信息输入微观动力学模型获得反应速率常数、表面覆盖度等关键参数并获得不含传质效应的电流密度。此时的电流密度被作为输入进入连续介质传输模型中迭代求解获取电极界面处的局部pH和氢气浓度分布,直至达到完全收敛。
析氢反应的微观反应机理
基于上述多尺度模拟框架,研究团队选取当前实验数据较完备的HER为模型反应进行了测试。如图2所示,研究团队详细计算了在不同H覆盖度以及不同电位下Au(111)表面析氢反应(HER)的微观机理。计算结果表明,碱性条件下的反应能垒显著高于酸性条件,从理论上解释了实验观测到的碱性HER动力学缓慢现象。研究还发现表面氢覆盖度对反应路径具有重要调控作用:较高的氢覆盖度会减弱氢物种与表面的结合强度,从而提高反应能垒。此外,为了区分酸碱性条件下质子来源的差异,该研究通过构建不同的显式水分子结构。

图2.HER反应自由能图及反应机理。在标准氢电极(SHE)电位下,以H₃O⁺(酸性条件)和H₂O(碱性条件)作为质子源时,Au(111)在无H覆盖(θ*H=0 ML)及高H覆盖度状态(θ*H =7/9 ML)下的Volmer-Heyrovsky路径(a)与Volmer-Tafel路径(b)的巨正则自由能图以及(c)Volmer-Heyrovsky机理与(d)Volmer-Tafel机理的反应过程示意图。
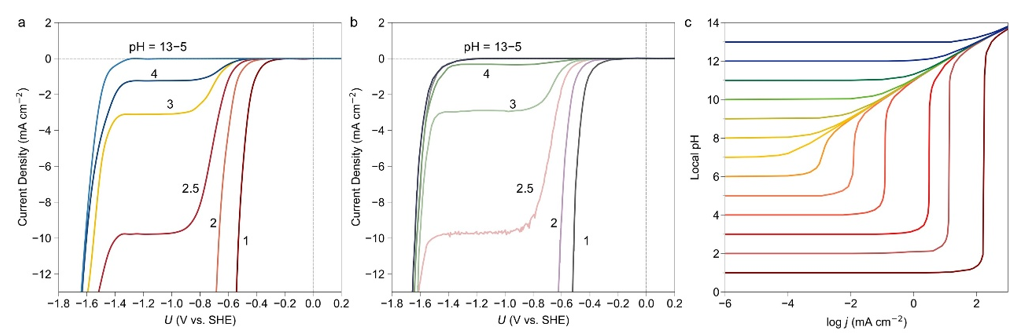
基于上述系统的反应机理模拟,将获得的HER反应自由能信息代入图1b所示的多尺度模拟框架进行迭代求解后,便成功模拟出Au(111)表面上HER的电化学极化曲线(图3a),并且呈现出与实验测量极化曲线的高度吻合性(图3b),进而证明该多尺度模拟框架的有效性。

图3.多尺度模拟与实验获得的HER极化曲线。 (a) 多尺度模拟与 (b) 实验获得的Au(111)表面HER电流-电位极化曲线。(c)全pH条件(体相pH=1-13)下局部pH随电流密度变化的函数关系图。
析氢反应的pH效应
在成功复现实验极化曲线的基础上,研究团队进一步深入解析了氢析出反应极化曲线pH依赖性的微观起源。研究发现,在酸性条件下(pH=1-4),HER活性呈现显著的pH敏感性,而碱性条件(pH=8-13)下极化行为则趋于一致。具体的,如图3c所示,局部pH随电流密度的演化可以分为平衡区、质子耗尽区与线性增长区三个特征区域。以pH=3为例,当电流密度达到3.1 mA cm⁻²时,电催化剂附近质子快速耗尽导致局部pH从酸性急剧跃迁至碱性(pH≈11),这一过程在极化曲线上直接表现为特征电流平台的形成。随着电流继续增大,不同初始pH体系的局部pH轨迹最终收敛,从而解释了宽pH范围内极化行为的一致性现象。
析氢反应极化曲线的动态竞争机制及
五区间控制机理
如图3b所示,酸性条件下HER极化曲线通常会呈现"电流平台"现象(电流密度不随电位增加而改变)。虽然该现象被实验广泛观测,但其更加深层次的微观机制仍然不明确。因此,本研究通过进一步对典型酸性条件(pH=3)下的HER过程进行系统建模,完整揭示了极化曲线的形成机制与动态演变过程。通过计算不同电位下酸性及碱性Volmer步骤的反应活化能垒发现:作为质子耦合电子转移过程,Volmer步骤的能垒随电位负移显著降低,而局域pH则经历三个阶段的演化。最终由于能垒降低与局部pH升高(即质子浓度下降)之间的动态竞争(图4a)导致了电流平台的出现。

图4.微环境与反应动力学对极化曲线的影响。(a)局域pH(实线)与Volmer步能垒(虚线)随外加电位的变化关系。(b)Volmer步路径占比:不同外加电位下酸性与碱性路径的竞争情况。(c)pH=3条件下模拟得到的塔菲尔斜率。(d)在弱酸性条件下, HER极化曲线的五个特征区域。
此外,HER反应路径的完整演变过程可以通过机理与动力学共同揭示。如图4b所示,随着电位负移,反应质子源从酸性Volmer步骤主导(-0.7至-1.4 V vs SHE),逐步过渡到碱性Volmer步骤完全取代(<-1.8 V)。这一动态转变在图4c所示的塔菲尔斜率上得到验证:低电位区69.4 mV dec⁻¹对应Tafel步骤控制;平台区斜率趋近∞,证实传质控制主导;高电位区141.5 mV dec⁻¹则标志着反应进入了碱性Volmer控制区。基于上述演变规律最终构建了如图4d所示的五区段控制理论:(Ⅰ) 受限于缓慢的Tafel步骤的低电势动力学控制区; (Ⅱ) PCET动力学与传质效应共同作用的低电势混合控制区; (Ⅲ) 受限于质子传质并形成特征电流平台的传质控制区; (Ⅳ) 酸性与碱性Volmer路径并存的高电势混合控制区; (Ⅴ)完全由碱性Volmer步骤主导的低电势动力学控制区。

图5.宏观传质对极化曲线的影响。(a)实验测得的Au(111)、Pt(111)及多晶Ir催化剂在pH=3条件下的极化曲线,三者均呈现出相似的极化平台。(b)不同转速下Au(111)表面在pH=3时的模拟极化曲线,展现出不同的平台电流。(c)扩散极限电流密度绝对值与转速平方根(ω1/2)的线性关系。(d)局部pH随转速的变化关系。
揭示电催化反应中传质优化的边界效应
为了进一步探索如何通过优化传质条件来突破反应限制,研究团队首先解耦分析了催化剂与传质影响。如图5a所示,虽然不同催化剂(Au、Pt、Ir)在动力学控制区域表现出显著差异,但在传质控制区域均呈现相似的电流平台,证明扩散限制电流密度主要受传质过程控制,与催化剂本征活性无直接关系。其次,通过系统模拟不同转速下的极化行为(图5b)探索了旋转调控的线性规律与边界效应,并发现提高转速可有效提升扩散限制电流密度。相关的模拟结果(图5c)与Levich方程预测吻合(扩散极限电流与转速平方根呈线性关系)。进一步深入分析转速对局部pH的影响(图5d)发现:在低转速区间(400-1600 rpm),边界层维持碱性环境,无法有效缓解传质限制;在优化转速区间(1600-2500 rpm),局部pH显著降低至3-4,接近本体pH值;而在饱和转速区间(>2500 rpm),继续提高转速不再产生明显的pH变化。因此,旋转主要通过增强边界层对流传质来间接改善界面反应微环境,而非直接影响电极界面处的传质过程。这一发现进一步明晰了旋转调控的物理边界即优化的极限是实现局部pH与本体pH的一致,无法创造更有利的局部环境。
总的来说,本研究成功构建了一个多尺度模拟框架,通过整合巨正则密度泛函理论计算、微观动力学模型和连续介质传输模型,实现了对复杂电催化反应过程的精准模拟。该多尺度框架建立了从微观反应机理到宏观传质效应的完整理论桥梁,不仅解决了电催化领域中存在的计算模型与实验现象脱节问题,而且为理解局部环境动态演变和电位依赖的机理演化提供了新可能性。该研究范式有望加速高性能电催化剂的设计与研发。
该研究得到国家重点研发计划、国家自然科学基金、能源与碳中和浙江省实验室(白马湖实验室)、西湖大学启动经费和西湖大学未来产业研究中心等经费支持。
